• الرئيسية
  • التعريف بالموقع
  • لإرسال اقتراحاتكم
  • مقالات تربوية
  • وثائق تربوية
  • وثائق للأستاذ
  • التوجيه المدرسي

Doross.ma دروس المغربDoross.ma دروس المغرب Doross.ma دروس المغرب

  • الرئيسية
  • إعدادي
    • الأولى إعدادي
      • الرياضيات | الأولى إعدادي
      • الفيزياء و الكيمياء | الأولى إعدادي
      • علوم الحياة و الأرض | الأولى إعدادي
      • مواد أخرى … الأولى أعدادي
    • الثانية إعدادي
      • الرياضيات | الثانية إعدادي
      • الفيزياء و الكيمياء | الثانية إعدادي
      • علوم الحياة و الأرض | الثانية إعدادي
      • مواد أخرى … الثانية إعدادي
    • الثالثة إعدادي
      • الرياضيات | الثالثة إعدادي
      • الفيزياء و الكيمياء | الثالثة إعدادي
      • علوم الحياة و الأرض | الثالثة إعدادي
      • مواد أخرى … الثالثة إعدادي
      • أولمبياد الثالثة إعدادي
  • جدع مشترك
    • الرياضيات | جدع مشترك
    • الفيزياء و الكيمياء | جدع مشترك
    • علوم الحياة و الأرض | جدع مشترك
    • مواد أخرى … جدع مشترك
    • أولمبياد الجدع المشترك
  • الأولى باكالوريا
    • الرياضيات | الأولى باكالوريا
    • الفيزياء و الكيمياء | الأولى باكالوريا
    • علوم الحياة و الأرض | الأولى باكالوريا
    • مواد أخرى … الأولى باكالوريا
  • الثانية باكالوريا
    • الرياضيات | الثانية باكالوريا
    • الفيزياء و الكيمياء | الثانية باكالوريا
    • علوم الحياة و الأرض | الثانية باكالوريا
    • مواد أخرى … الثانية باكالوريا
  • مقالات تربوية
  • التعليم العالي
    • الرياضيات التعليم العالي
    • مواد أخرى | التعليم العالي
  • المستوى ابتدائي
    • المستوى الأول إبتدائي
    • المستوى الثاني إبتدائي
    • المستوى التالث إبتدائي
    • المستوى الرابع إبتدائي
    • المستوى الخامس إبتدائي
    • المستوى السادس إبتدائي

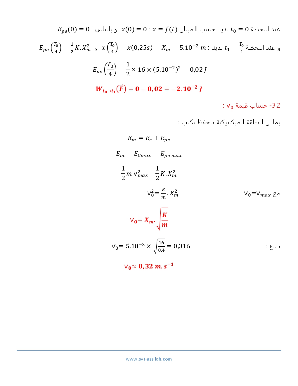
إمتحانات وطنية :تصحيح وطني الفيزياء و الكمياء 2017 | الثانية باك مسلك علوم الحياة و الأرض

تصحيح وطني الفيزياء و الكمياء 2017 | الثانية باك مسلك علوم الحياة و الأرضتصحيح وطني الفيزياء و الكمياء 2017 | الثانية باك مسلك علوم الحياة و الأرضتصحيح وطني الفيزياء و الكمياء 2017 | الثانية باك مسلك علوم الحياة و الأرضتصحيح وطني الفيزياء و الكمياء 2017 | الثانية باك مسلك علوم الحياة و الأرضتصحيح وطني الفيزياء و الكمياء 2017 | الثانية باك مسلك علوم الحياة و الأرضتصحيح وطني الفيزياء و الكمياء 2017 | الثانية باك مسلك علوم الحياة و الأرضتصحيح وطني الفيزياء و الكمياء 2017 | الثانية باك مسلك علوم الحياة و الأرضتصحيح وطني الفيزياء و الكمياء 2017 | الثانية باك مسلك علوم الحياة و الأرضتصحيح وطني الفيزياء و الكمياء 2017 | الثانية باك مسلك علوم الحياة و الأرضتصحيح وطني الفيزياء و الكمياء 2017 | الثانية باك مسلك علوم الحياة و الأرضتصحيح وطني الفيزياء و الكمياء 2017 | الثانية باك مسلك علوم الحياة و الأرضتصحيح وطني الفيزياء و الكمياء 2017 | الثانية باك مسلك علوم الحياة و الأرضتصحيح وطني الفيزياء و الكمياء 2017 | الثانية باك مسلك علوم الحياة و الأرض

امتحانات وطنية للفيزياء و الكمياء 2017-07-04
Mouad Lakrad

مقالات مشابهة

إمتحانات وطنية : تصحيح وطني الفيزياء 2018 | الثانية باك علوم الحياة و الأرض svt

8 يوليو، 2018

إمتحانات وطنية : وطني الفيزياء 2018 | الثانية باك علوم الحياة و الأرض svt

8 يوليو، 2018

امتحانات وطنية : تصحيح وطني الفيزياء 2018 الدورة العادية | الثانية باك PC

27 يونيو، 2018

إعلانات

آخر المقالات

  • أسرع وأسهل طريقة لحفظ جدول الضرب

    7 فبراير، 2019
  • لماذا جداء عددين سالبين هو عدد موجب؟؟

    7 فبراير، 2019
  • لماذا نستعمل الحرف X للدلالة على المجهول

    7 فبراير، 2019
  • إقرأ عن مبرهنة فيثاغورس

    12 يوليو، 2018

تابعنا على فيسبوك

Doross.ma دروس المغرب | جميع الحقوق محفوظة