• الرئيسية
  • التعريف بالموقع
  • لإرسال اقتراحاتكم
  • مقالات تربوية
  • وثائق تربوية
  • وثائق للأستاذ
  • التوجيه المدرسي

Doross.ma دروس المغربDoross.ma دروس المغرب Doross.ma دروس المغرب

  • الرئيسية
  • إعدادي
    • الأولى إعدادي
      • الرياضيات | الأولى إعدادي
      • الفيزياء و الكيمياء | الأولى إعدادي
      • علوم الحياة و الأرض | الأولى إعدادي
      • مواد أخرى … الأولى أعدادي
    • الثانية إعدادي
      • الرياضيات | الثانية إعدادي
      • الفيزياء و الكيمياء | الثانية إعدادي
      • علوم الحياة و الأرض | الثانية إعدادي
      • مواد أخرى … الثانية إعدادي
    • الثالثة إعدادي
      • الرياضيات | الثالثة إعدادي
      • الفيزياء و الكيمياء | الثالثة إعدادي
      • علوم الحياة و الأرض | الثالثة إعدادي
      • مواد أخرى … الثالثة إعدادي
      • أولمبياد الثالثة إعدادي
  • جدع مشترك
    • الرياضيات | جدع مشترك
    • الفيزياء و الكيمياء | جدع مشترك
    • علوم الحياة و الأرض | جدع مشترك
    • مواد أخرى … جدع مشترك
    • أولمبياد الجدع المشترك
  • الأولى باكالوريا
    • الرياضيات | الأولى باكالوريا
    • الفيزياء و الكيمياء | الأولى باكالوريا
    • علوم الحياة و الأرض | الأولى باكالوريا
    • مواد أخرى … الأولى باكالوريا
  • الثانية باكالوريا
    • الرياضيات | الثانية باكالوريا
    • الفيزياء و الكيمياء | الثانية باكالوريا
    • علوم الحياة و الأرض | الثانية باكالوريا
    • مواد أخرى … الثانية باكالوريا
  • مقالات تربوية
  • التعليم العالي
    • الرياضيات التعليم العالي
    • مواد أخرى | التعليم العالي
  • المستوى ابتدائي
    • المستوى الأول إبتدائي
    • المستوى الثاني إبتدائي
    • المستوى التالث إبتدائي
    • المستوى الرابع إبتدائي
    • المستوى الخامس إبتدائي
    • المستوى السادس إبتدائي

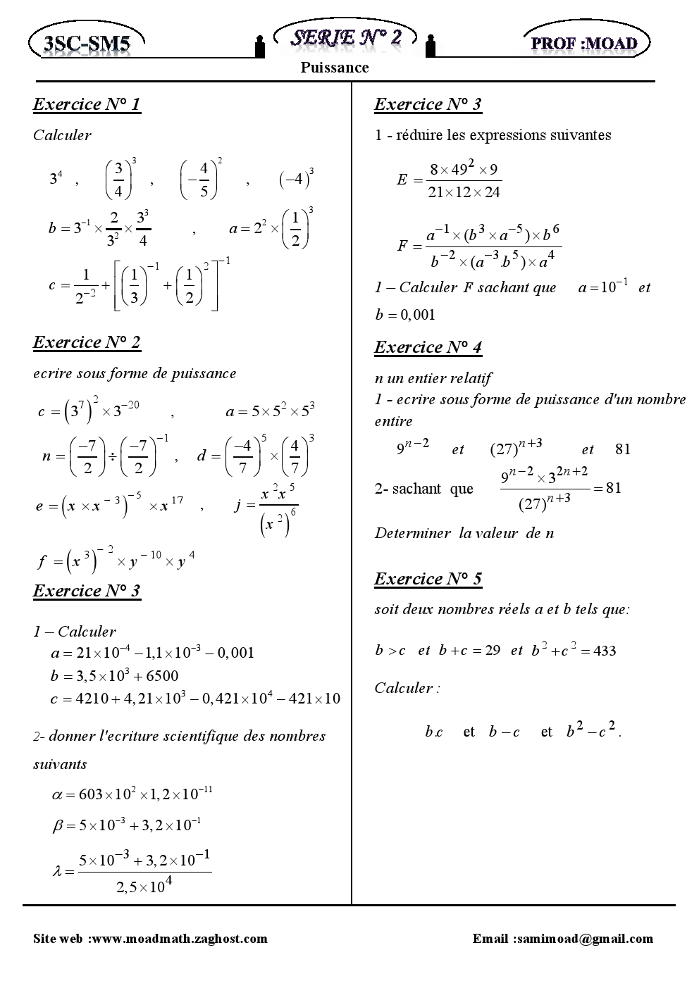
تمارين : الحساب العددي – القوى – | الثالثة إعدادي

تمارين  القوى  للثالثة إعدادي تمارين  القوى  للثالثة إعدادي

تمارين الرياضيات للثالثة إعدادي 2015-10-07
Mouad Lakrad

مقالات مشابهة

فروض الرياضيات : فرض محروس1 الدورة 2 | الثالثة خيار فرنسي

27 فبراير، 2026

فروض الرياضيات : فرض محروس 1 الدورة الثانية ن 1 |لثالثة إعدادي خيار فرنسي

23 فبراير، 2026

تمارين الرياضيات: VECTEURS ET TRASLATION | الثالثة خيار فرنسي

17 فبراير، 2026

إعلانات

آخر المقالات

  • أسرع وأسهل طريقة لحفظ جدول الضرب

    7 فبراير، 2019
  • لماذا جداء عددين سالبين هو عدد موجب؟؟

    7 فبراير، 2019
  • لماذا نستعمل الحرف X للدلالة على المجهول

    7 فبراير، 2019
  • إقرأ عن مبرهنة فيثاغورس

    12 يوليو، 2018

تابعنا على فيسبوك

Doross.ma دروس المغرب | جميع الحقوق محفوظة